Упр.24.27 ГДЗ Мордкович 10-11 класс (Алгебра)
Решение #1
Решение #2

Рассмотрим вариант решения задания из учебника Мордкович, Семенов 10 класс, Мнемозина:
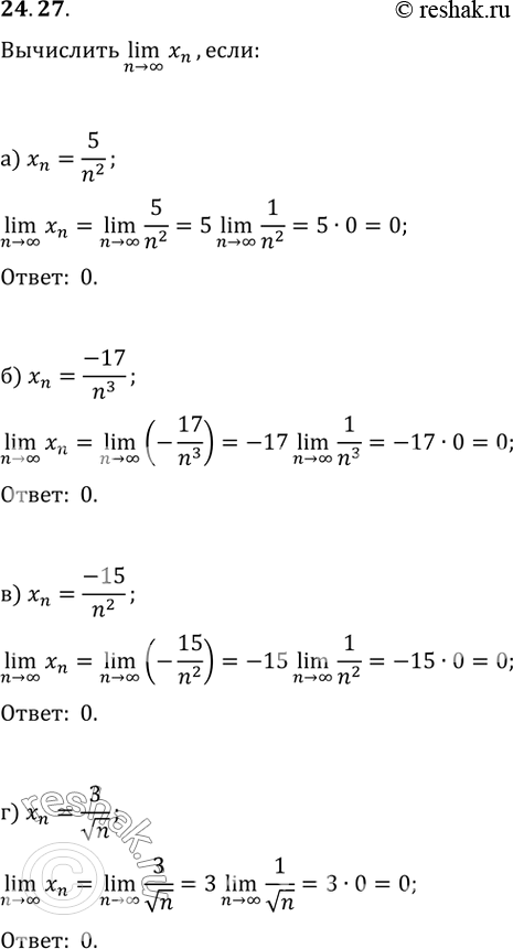
24.27 Вычислите lim (n -> бесконечность) хn, если:
а) xn = 5/n2;
б) xn = -17/n3;
в) xn = -15/n2;
г) xn = 3/корень(n).
*размещая тексты в комментариях ниже, вы автоматически соглашаетесь с пользовательским соглашением