Упр.19.15 ГДЗ Мордкович 10-11 класс (Алгебра)
Решение #1
Решение #2

Рассмотрим вариант решения задания из учебника Мордкович, Семенов 10 класс, Мнемозина:
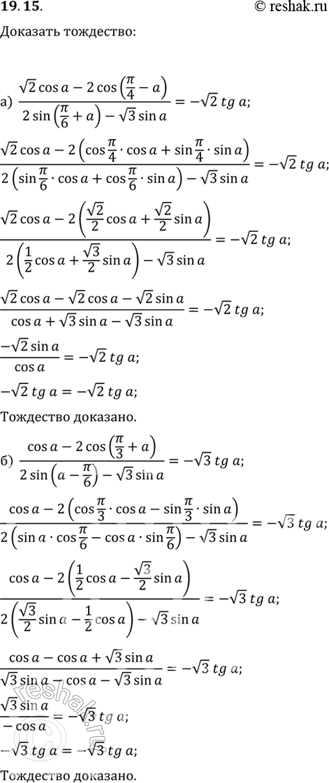
Докажите тождество:
а) (корень(2)cos a - 2cos (пи/4 - a)) / (2sin (пи/6 + a) - корень(3)sin a) = -корень(2)tg a;
6) (cos a - 2cos (пи/3 + a)) / (2sin (a - пи/6) - корень(3)sin a) = - корень(3)tg a.
*размещая тексты в комментариях ниже, вы автоматически соглашаетесь с пользовательским соглашением