Упр.9.4 ГДЗ Мордкович 7 класс (Алгебра)
Решение #1

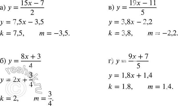
Рассмотрим вариант решения задания из учебника Мордкович, Александрова 7 класс, Мнемозина:
Преобразуйте уравнение к виду линейной функции у = kx + m и выпишите коэффициенты k и m:
*размещая тексты в комментариях ниже, вы автоматически соглашаетесь с пользовательским соглашением