Упр.4.2 ГДЗ Мордкович 7 класс (Алгебра)
Решение #1

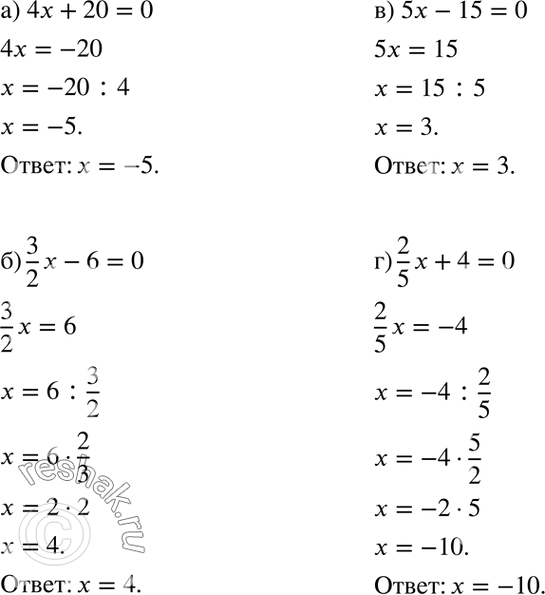
Рассмотрим вариант решения задания из учебника Мордкович, Александрова 7 класс, Мнемозина:
4.2. а) 4x+20=0;
б) 3x/2-6=0;
в) 5x-15=0;
г) 2x/5+4=0.
*размещая тексты в комментариях ниже, вы автоматически соглашаетесь с пользовательским соглашением