Упр.517 ГДЗ Никольский Потапов 7 класс (Алгебра)
Решение #1

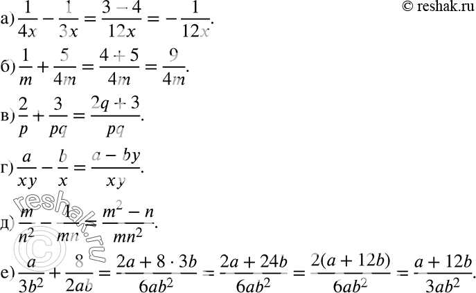
Рассмотрим вариант решения задания из учебника Никольский, Потапов 7 класс, Просвещение:
517 а) 1/4x-1/3x;
б) 1/m+5/4m;
в) 2/p+3/pq;
г) a/xy-b/x;
д) m/n2-1/mn;
е) a/3b2+8/2ab.
*размещая тексты в комментариях ниже, вы автоматически соглашаетесь с пользовательским соглашением