Упр.4.64 ГДЗ Никольский Потапов 11 класс (Алгебра)
Решение #1

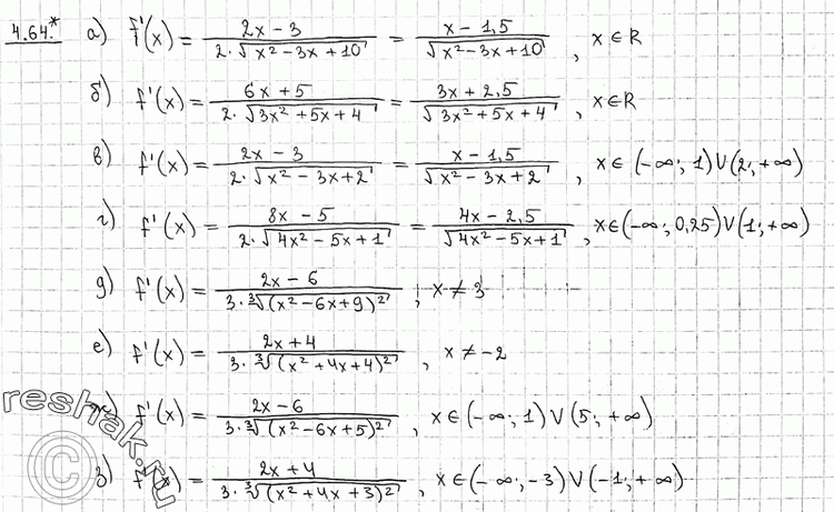
Рассмотрим вариант решения задания из учебника Никольский, Потапов 11 класс, Просвещение:
4.64 а) f(x) = корень (x2-3x+10);
б) f(x) = корень (3x2+5x+4);
в) f(x) = корень (x2-3x+2);
г) f(x) = корень (4x2-5x+1);
д) f(x) = корень 3 степени (x2-6x+9);
е) f(x) = корень 3 степени (x2+4x+4);
ж) f(x) = корень 3 степени (x2-6x+5);
з) f(x) = корень 3 степени (x2+4x+3).
*размещая тексты в комментариях ниже, вы автоматически соглашаетесь с пользовательским соглашением