Упр.2.28 ГДЗ Никольский Потапов 11 класс (Алгебра)
Решение #1
Решение #2

Рассмотрим вариант решения задания из учебника Никольский, Потапов 11 класс, Просвещение:
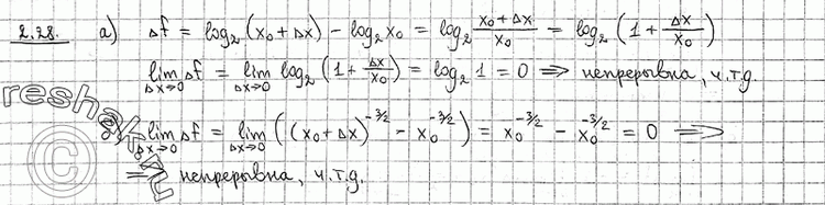
2.28 Докажите, что в любой точке х0 принадлежит (0; +бесконечность) непрерывна функция:
а) y= log2(x);
б) y= x^-3/2.
*размещая тексты в комментариях ниже, вы автоматически соглашаетесь с пользовательским соглашением