Упр.124 Рабочая тетрадь №1 ГДЗ Мерзляк Полонский 6 класс (Математика)
Решение #1

Рассмотрим вариант решения задания из учебника Мерзляк, Полонский, Якир 6 класс, Вентана-Граф:
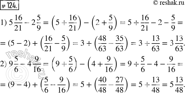
124. Вычислите значение выражения.
1) 5 16/21 - 2 5/9;
2) 9 5/6 - 4 9/16.
*размещая тексты в комментариях ниже, вы автоматически соглашаетесь с пользовательским соглашением