Упр.10.9 ГДЗ Никольский Потапов 11 класс (Алгебра)
Решение #1
Решение #2

Рассмотрим вариант решения задания из учебника Никольский, Потапов 11 класс, Просвещение:
10.9* а) корень (2-2sinx/2)=1;
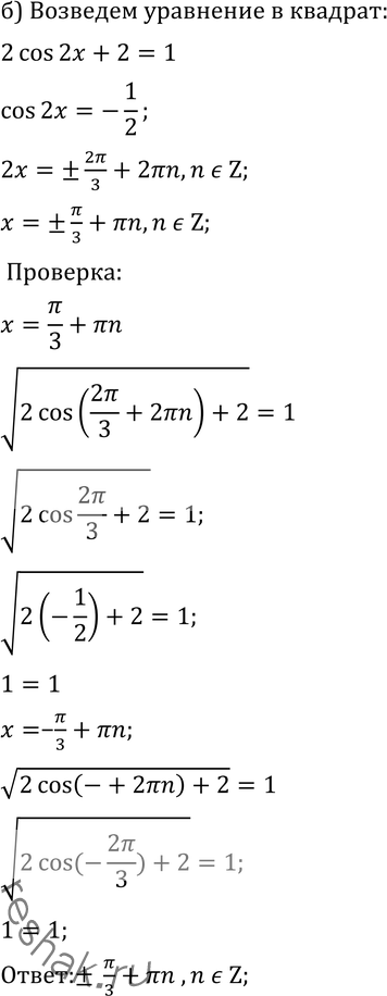
б) корень (2cos3x+2)=1.
*размещая тексты в комментариях ниже, вы автоматически соглашаетесь с пользовательским соглашением